转账支持的币种和手续费是多少?

转账至XTransfer账户无费用,支持全币种。

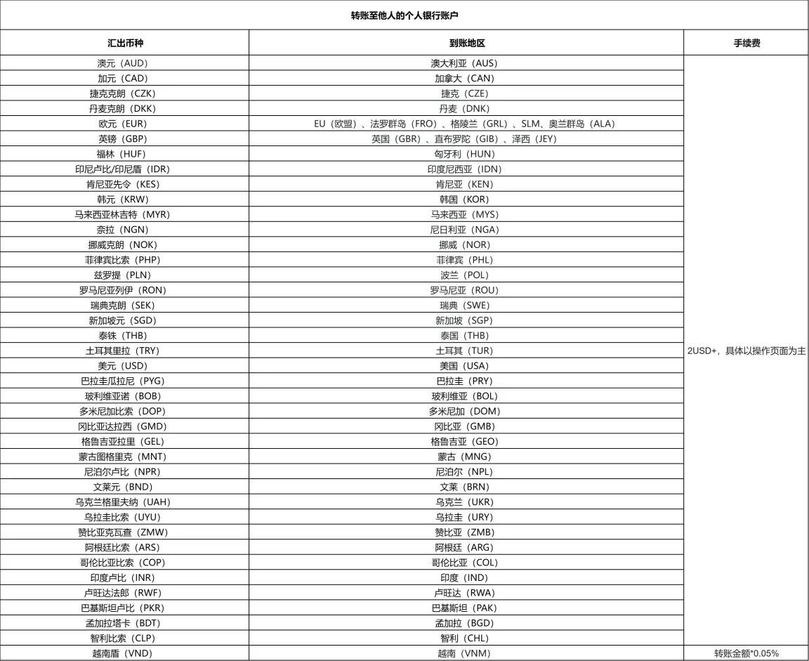
转账至银行账户手续费通常为2USD+,具体费用以实际操作页面为准。支持币种如下:

描述文字

描述文字

描述文字

文档内容对您有用吗?
有帮助
没有帮助
©XTransfer. 上海夺汇网络技术有限公司 All rights reserved. 沪ICP备17023308号-1 公安备案号:31011002003454
*【中国B2B外贸金融第一平台】,数据源自艾媒咨询于2023年7月发布的《2023年中国中小微外贸企业金融服务需求研究报告》